2025-09-08 07:16 点击次数:188
在探讨物体从高处下落的速度问题时,常有人认为在没有阻力的情况下,只要时间足够长,物体速度就能无限增加甚至超过光速。但以苹果从无穷远处落向地球为例,这种观点存在诸多误解,实际情况要复杂得多,且受多种物理规律严格制约。
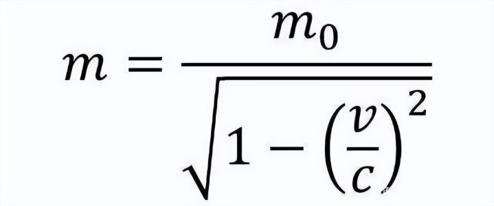
从相对论角度来看,物体的运动速度与质量之间存在密切联系。根据相对论质速关系公式:

(其中m为运动质量,m0为静止质量,v为物体速度,c为光速),当苹果下落速度v不断增大时,其运动质量m会显著增加。这意味着苹果的惯性随之增大,要继续对其加速就需要更大的能量。当速度趋近于光速时,质量会趋近于无穷大,相应地,将苹果加速到光速所需的能量也变为无穷大。
然而,整个宇宙的能量是有限的,显然不可能提供如此巨大的能量来使苹果达到光速,这从根本上限制了苹果的速度上限。
再看引力场的变化情况,地球的引力场强度并非恒定不变,而是随距离发生显著变化。

在地球表面附近,重力加速度约为9.8m/s²),但随着高度增加,引力迅速减弱。例如,在距离地球表面 1 万公里的高度,重力加速度已降至约1.49m/s²。而在无穷远处,引力场强度趋近于零,加速度也几乎为零。这表明苹果从无穷远处开始下落时,初始加速度极小,并非如自由落体公式(v = gt)所暗示的那样进行恒定加速。
该公式仅适用于地表附近引力场近似均匀的狭小区域,不能简单应用于无穷远处到地球的整个下落过程。
从机械能守恒的角度分析,苹果在引力场中的运动遵循能量守恒定律。

当苹果位于无穷远处时,其动能为零,而引力势能理论上趋于无穷大,但实际上,只有在有限距离内讨论才有意义。在苹果从某一有限高度落向地球的过程中,重力势能逐渐转化为动能。根据机械能守恒定律,可推导出苹果落向地球的终极速度。通过计算可知,这个终极速度就是第二宇宙速度,约为11.2千米每秒。
第二宇宙速度的物理意义可以这样理解:当物体以该速度离开地球时,能够克服地球引力飞到无穷远处;反之,当物体从无穷远处落向地球时,重力势能完全转化为动能,最终速度也必然是第二宇宙速度。这一速度与光速(约30万千米每秒)相比,差距极为悬殊,充分说明苹果下落速度存在明确的极限,远不可能达到光速。

综合相对论效应、引力场的变化以及机械能守恒等多方面因素,苹果从无穷远处落向地球的过程中,速度不仅无法达到光速,甚至连光速的零头都远远达不到。这一现象深刻体现了物理学基本规律对自然现象的严格约束,也纠正了人们对自由落体运动速度的常见误解。